2-cyclohexen-1-on
| 2-cyclohexen-1-on | ||||
|---|---|---|---|---|
| Structuurformule en molecuulmodel | ||||
| ||||
Structuurformule van 2-cyclohexen-1-on
| ||||
| Algemeen | ||||
| Molecuulformule | C6H8O | |||
| IUPAC-naam | 2-cyclohexen-1-on | |||
| Andere namen | cyclohexenon | |||
| Molmassa | 96,12712 g/mol | |||
| SMILES | C1CC=CC(=O)C1
| |||
| InChI | 1S/C6H8O/c7-6-4-2-1-3-5-6/h2,4H,1,3,5H2
| |||
| CAS-nummer | 930-68-7 | |||
| PubChem | 13594 | |||
| Wikidata | Q209370 | |||
| Vergelijkbaar met | 2-cyclopenten-1-on | |||
| Waarschuwingen en veiligheidsmaatregelen | ||||
| ||||
| H-zinnen | H226 - H301 - H310 - H331 | |||
| EUH-zinnen | geen | |||
| P-zinnen | P261 - P280 - P301+P310 - P302+P350 - P310 | |||
| LD50 (ratten) | (oraal) 220 mg/kg | |||
| Fysische eigenschappen | ||||
| Aggregatietoestand | vloeibaar | |||
| Kleur | kleurloos | |||
| Dichtheid | 0,993 g/cm³ | |||
| Smeltpunt | −53 °C | |||
| Kookpunt | 172 °C | |||
| Oplosbaarheid in water | 41,3 g/L | |||
| Goed oplosbaar in | water, ethanol, di-ethylether, dichloormethaan, chloroform, ethylacetaat, DMSO | |||
| Tenzij anders vermeld zijn standaardomstandigheden gebruikt (298,15 K of 25 °C, 1 bar). | ||||
| ||||
2-cyclohexen-1-on (meestal aangeduid als cyclohexenon) is een organische verbinding met als brutoformule C6H8O. De stof komt voor als een heldere kleurloze vloeistof, die oplosbaar is in water.
Synthese
Er bestaan meerdere methoden voor de synthese van 2-cyclohexen-1-on. Een eerste methode, die ook op industriële schaal wordt toegepast, is de Birch-reductie van anisol met lithium of natrium in vloeibare ammoniak:

Synthese van 2-cyclohexen-1-on
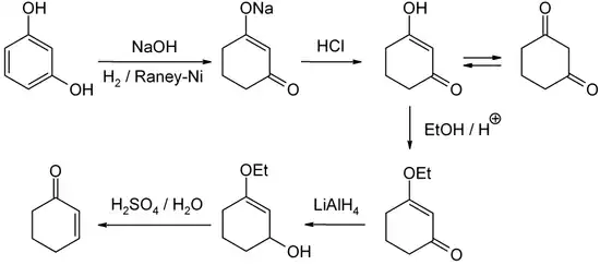
Een in het laboratorium vaak toegepaste synthesemethode vertrekt van 3-ethoxy-2-cyclohexen-1-on, dat eerste gereduceerd en vervolgens gehydrolyseerd wordt tot 1,3-cyclohexaandion (waarvan de enolvorm echter stabieler is door aanwezigheid van een alfa,bèta-onverzadigde carbonylverbinding). Behandeling hiervan met ethanol en een zure katalysator leidt tot vorming van een enolether, die vervolgens met lithiumaluminiumhydride gereduceerd wordt tot een indermediair cyclisch alcohol. Dit alcohol wordt door behandeling van zwavelzuur en water omgezet in 2-cyclohexen-1-on:

Synthese van 2-cyclohexen-1-on
Als alternatief kan de alfa-bromering van cyclohexanon worden uitgevoerd, gevolgd door eliminatie met behulp van een sterke niet-nucleofiele base, zoals lithiumdi-isopropylamide.
Eigenschappen en reacties
2-cyclohexen-1-on is een cyclisch enon, dat zowel reacties aan de carbonylgroep (zoals acetaalvorming) als aan de dubbele binding (zoals elektrofiele additie of epoxidatie) kan ondergaan. De dubbele binding in de ring is - door conjugatie van met carbonylgroep - elektronenarm, zodat het als diënofiel in Diels-Alder-reacties kan optreden.
Toepassingen
Door de structurele diversiteit in de molecule wordt 2-cyclohexen-1-on in de organische synthese aangewend als bouwsteen. Het ondergaat met name Michael-addities en Diels-Alder-reacties. De additie van een organokoperreagens (zoals het Gilman-reagens) verloopt door 1,4-additie, terwijl Grignard-reagentia een nucleofiele additie aan de carbonylgroep ondergaan.


