Telescoping series

In mathematics, a telescoping series is a series whose general term is of the form , i.e. the difference of two consecutive terms of a sequence . As a consequence the partial sums of the series only consists of two terms of after cancellation.[1][2]

The cancellation technique, with part of each term cancelling with part of the next term, is known as the method of differences.

An early statement of the formula for the sum or partial sums of a telescoping series can be found in a 1644 work by Evangelista Torricelli, De dimensione parabolae.[3]

Definition

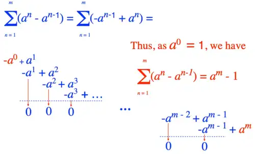
A telescoping series of powers. Note in the summation sign, , the index n goes from 1 to m. There is no relationship between n and m beyond the fact that both are natural numbers.

Telescoping sums are finite sums in which pairs of consecutive terms partly cancel each other, leaving only parts of the initial and final terms.[1][4] Let be the elements of a sequence of numbers. Then If converges to a limit , the telescoping series gives:

Every series is a telescoping series of its own partial sums.[5]

Examples

  • The product of a geometric series with initial term and common ratio by the factor yields a telescoping sum, which allows for a direct calculation of its limit:[6]when so when
  • The seriesis the series of reciprocals of pronic numbers, and it is recognizable as a telescoping series once rewritten in partial fraction form[1]
  • Let k be a positive integer. Then where Hk is the kth harmonic number.
  • Let k and m with k m be positive integers. Then where denotes the factorial operation.
  • Many trigonometric functions also admit representation as differences, which may reveal telescopic canceling between the consecutive terms. Using the angle addition identity for a product of sines, which does not converge as

Applications

In probability theory, a Poisson process is a stochastic process of which the simplest case involves "occurrences" at random times, the waiting time until the next occurrence having a memoryless exponential distribution, and the number of "occurrences" in any time interval having a Poisson distribution whose expected value is proportional to the length of the time interval. Let Xt be the number of "occurrences" before time t, and let Tx be the waiting time until the xth "occurrence". We seek the probability density function of the random variable Tx. We use the probability mass function for the Poisson distribution, which tells us that

where λ is the average number of occurrences in any time interval of length 1. Observe that the event {Xt ≥ x} is the same as the event {Txt}, and thus they have the same probability. Intuitively, if something occurs at least times before time , we have to wait at most for the occurrence. The density function we seek is therefore

The sum telescopes, leaving

For other applications, see:

A telescoping product is a finite product (or the partial product of an infinite product) that can be canceled by the method of quotients to be eventually only a finite number of factors.[7][8] It is the finite products in which consecutive terms cancel denominator with numerator, leaving only the initial and final terms. Let be a sequence of numbers. Then, If converges to 1, the resulting product gives:

For example, the infinite product[7] simplifies as

References

  1. ^ a b c Apostol, Tom (1967) [1961]. Calculus, Volume 1 (Second ed.). John Wiley & Sons. pp. 386–387.
  2. ^ Brian S. Thomson and Andrew M. Bruckner, Elementary Real Analysis, Second Edition, CreateSpace, 2008, page 85
  3. ^ Weil, André (1989). "Prehistory of the zeta-function". In Aubert, Karl Egil; Bombieri, Enrico; Goldfeld, Dorian (eds.). Number Theory, Trace Formulas and Discrete Groups: Symposium in Honor of Atle Selberg, Oslo, Norway, July 14–21, 1987. Boston, Massachusetts: Academic Press. pp. 1–9. doi:10.1016/B978-0-12-067570-8.50009-3. MR 0993308.
  4. ^ Weisstein, Eric W. "Telescoping Sum". MathWorld. Wolfram.
  5. ^ Ablowitz, Mark J.; Fokas, Athanassios S. (2003). Complex Variables: Introduction and Applications (2nd ed.). Cambridge University Press. p. 110. ISBN 978-0-521-53429-1.
  6. ^ Apostol, Tom (1967) [1961]. Calculus, Volume 1 (Second ed.). John Wiley & Sons. p. 388.
  7. ^ a b "Telescoping Series - Product". Brilliant Math & Science Wiki. Brilliant.org. Retrieved 9 February 2020.
  8. ^ Bogomolny, Alexander. "Telescoping Sums, Series and Products". Cut the Knot. Retrieved 9 February 2020.