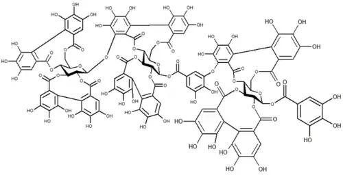
Raspberry ellagitannin
![]() | |
![]() | |
| Names | |
|---|---|
| IUPAC name
(10aR,11S,12aR,25aR,25bS)-23-{[(10aR,11S,12aR,25aR,25bS)-2,3,4,5,6,7,17,18,19,20,21,22-Dodecahydroxy-9,15,24,27-tetraoxo-9,10a,11,12a,13,15,24,25a,25b,27-decahydrodibenzo[g,i]dibenzo[6',7':8',9'][1,4]dioxecino[2',3':4,5]pyrano[3,2-b][1,5]dioxacycloundecin-11-yl]oxy}-2,3,4,5,6,7,17,18,19,20,21,22-dodecahydroxy-9,15,24,27-tetraoxo-9,10a,11,12a,13,15,24,25a,25b,27-decahydrodibenzo[g,i]dibenzo[6',7':8',9'][1,4]dioxecino[2',3':4,5]pyrano[3,2-b][1,5]dioxacycloundecin-11-yl 3-({(10aR,11S,12aR,25aR,25bS)-2,3,4,5,6,7,17,18,19,20,21,22-dodecahydroxy-9,15,24,27-tetraoxo-11-[(3,4,5-trihydroxybenzoyl)oxy]-9,10a,11,12a,13,15,24,25a,25b,27-decahydrodibenzo[g,i]dibenzo[6',7':8',9'][1,4]dioxecino[2',3':4,5]pyrano[3,2-b][1,5]dioxacycloundecin-23-yl}oxy)-4,5-dihydroxybenzoate
| |
| Identifiers | |
3D model (JSmol)
|
|
| ChemSpider | |
PubChem CID
|
|
| |
| |
| Properties | |
| C116H76O74 | |
| Molar mass | 2653.79 g/mol |
Except where otherwise noted, data are given for materials in their standard state (at 25 °C [77 °F], 100 kPa).
Infobox references
| |
Raspberry ellagitannin is an ellagitannin found in raspberries. It is a polyphenol per se, containing 6 ellagic acid-type components and two additional monomeric phenolics, for a total of 14 gallic acid units (and all of their substituent phenolic hydroxyl groups).

