Antrafenine
![]() | |
| Clinical data | |
|---|---|
| Routes of administration | Oral |
| ATC code |
|
| Legal status | |
| Legal status |
|
| Pharmacokinetic data | |
| Metabolism | Hepatic |
| Excretion | Renal |
| Identifiers | |
| |
| CAS Number | |
| PubChem CID | |
| DrugBank | |
| ChemSpider | |
| UNII | |
| ChEMBL | |
| CompTox Dashboard (EPA) | |
| Chemical and physical data | |
| Formula | C30H26F6N4O2 |
| Molar mass | 588.554 g·mol−1 |
| 3D model (JSmol) | |
| |
| |
| (verify) | |
Antrafenine (Stakane) is a phenylpiperazine derivative drug invented in 1979.[1] It acts as an analgesic and anti-inflammatory drug with similar efficacy to naproxen,[2] but is not widely used as it has largely been replaced by newer drugs.
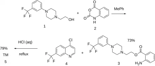
Synthesis

Method E: The reaction between 2-[4-[3-(trifluoromethyl)phenyl]-1-piperazinyl]ethanol [40004-29-3] (1) and Isatoic anhydride [118-48-9] (2) goes on to give 4-(3-(Trifluoromethyl)phenyl)piperazine-1-ethyl 2-aminobenzoate [51941-08-3] (3).
Method G: Alkylation with 4-chloro-7-(trifluoromethyl)quinoline [346-55-4] (4) completed the synthesis of antrafenine (5).
See also
References
- ^ a b Manoury PM, Dumas AP, Najer H, Branceni D, Prouteau M, Lefevre-Borg FM (May 1979). "Synthesis and analgesic activities of some (4-substituted phenyl-1-piperazinyl)alkyl 2-aminobenzoates and 2-aminonicotinates". Journal of Medicinal Chemistry. 22 (5): 554–9. doi:10.1021/jm00191a017. PMID 458805.
- ^ Leatham PA, Bird HA, Wright V, Seymour D, Gordon A (1983). "A double blind study of antrafenine, naproxen and placebo in osteoarthrosis". European Journal of Rheumatology and Inflammation. 6 (2): 209–11. PMID 6673985.
- ^ Don Pierre Rene Lucien Giudicelli, et al. U.S. patent 4,017,623 (1977 to Synthelabo SA).
- ^ Don Pierre Rene Lucien Giudicelli, et al. U.S. patent 3,935,229 (1976 to Synthelabo SA).
- ^ Don Pierre Rene Lucien Giudicelli, et al. U.S. patent 3,953,449 (1976 to Synthelabo SA).
