4-HO-NALT

4-HO-NALT
Identifiers
  • 3-[2-(Prop-2-enylamino)ethyl]-1H-indol-4-ol
CAS Number
PubChem CID
Chemical and physical data
FormulaC13H16N2O
Molar mass216.284 g·mol−1
3D model (JSmol)
  • C=CCNCCC1=CNC2=C1C(=CC=C2)O
  • InChI=1S/C13H16N2O/c1-2-7-14-8-6-10-9-15-11-4-3-5-12(16)13(10)11/h2-5,9,14-16H,1,6-8H2
  • Key:QOFKSOQRTVFMAL-UHFFFAOYSA-N

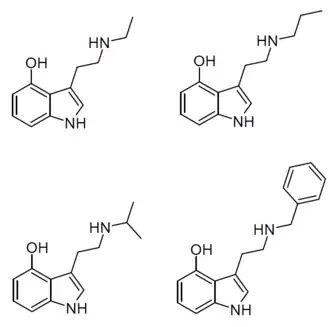
4-Hydroxy-N-allyltryptamine (4-HO-NALT) is a tryptamine derivative developed by modification of norpsilocin (4-HO-NMT). It produces a head-twitch response in mice consistent with psychedelic-like activity, as do the corresponding ethyl, propyl, isopropyl and benzyl derivatives (4-HO-NET, 4-HO-NPT, 4-HO-NiPT and 4-HO-NBnT), but the bulkier t-butyl and cyclohexyl derivatives are inactive.[1]

4-HO-NET, 4-HO-NPT, 4-HO-NiPT & 4-HO-NBnT

See also

References

  1. ^ Sherwood AM, Burkhartzmeyer EK, Williamson SE, Baumann MH, Glatfelter GC (January 2024). "Psychedelic-like Activity of Norpsilocin Analogues". ACS Chemical Neuroscience. 15 (2): 315–327. doi:10.1021/acschemneuro.3c00610. PMC 10797613. PMID 38189238.