2-Chlorobutane
![]() | |
| Names | |
|---|---|
| Preferred IUPAC name
2-Chlorobutane | |
| Identifiers | |
| |
3D model (JSmol)
|
|
| ChEBI | |
| ChEMBL | |
| ChemSpider | |
| ECHA InfoCard | 100.001.047 |
| EC Number |
|
PubChem CID
|
|
| UNII |
|
CompTox Dashboard (EPA)
|
|
| |
| |
| Properties | |
| C4H9Cl | |
| Molar mass | 92.57 g·mol−1 |
| Density | 0.873 g·cm−3 |
| Melting point | −140 °C (−220 °F; 133 K) |
| Boiling point | 70 °C (158 °F; 343 K) |
| −67.40·10−6 cm3/mol | |
| Hazards | |
| GHS labelling: | |
![]()
| |
| Danger | |
| H225, H315, H319, H335 | |
| P210, P233, P240, P241, P242, P243, P261, P264, P271, P280, P302+P352, P303+P361+P353, P304+P340, P305+P351+P338, P312, P321, P332+P313, P337+P313, P362, P370+P378, P403+P233, P403+P235, P405, P501 | |
Except where otherwise noted, data are given for materials in their standard state (at 25 °C [77 °F], 100 kPa).
Infobox references
| |
2-Chlorobutane is a compound with formula C4H9Cl. It is also called sec-butyl chloride. It is a colorless, volatile liquid at room temperature that is not miscible in water.
Physical properties
It is a colorless, volatile liquid at room temperature that is not miscible in water. Being an alkyl chloride, its boiling point varies depending on what kind of halide is attached and where it is attached. The boiling points of chlorides are lower than bromides or iodides due to the small size of chlorine relative to other halogens, and its weaker intermolecular forces.
Despite its polarity, 2-chlorobutane is only slightly soluble in water due to the hydrocarbon chain its attached to, this makes it soluble in nonpolar-organic solvents. Like many alkyl halides, it is relativity reactive, although not as reactive as iodides and bromides (I>Br>Cl>F), because of this reactivity, alkyl fluorides are more stable than others, and are not readily reactive.[1]
Synthesis
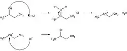
2-Chlorobutane can be synthesized through the addition of hydrochloric acid to 2-butene in the following reaction:

The reaction is two-step, with the pi electrons attacking the chloride hydrogen, which forms a chloride nucleophile. In the second step, the nucleophile attacks the carbocation generated in the first step.

Although addition of a hydrogen halide to an alkene is stereoselective, the symmetrical structure of 2-butene prevents an anti-Marknikov product from forming due to both sides of the double bond having the same stability.
In addition, 2-chlorobutane can be synthesized in a substitution reaction by reacting 2-butanol with hydrochloric acid.

In this case, the reaction is SN1 because 2-butanol generates a carbocation in a 2-step reaction. Because a hydroxyl group is not a good leaving group, it first attacks the chloride hydrogen, creating water, which is a good leaving group, this generates the carbocation. In the second step, the chloride nucleophile attacks the carbocation to form the product.

Uses
2-Chlorobutane, along with other alkyl halides, is a useful intermediate in many different organic reactions. The halogen group is an effective leaving group, leading to its use in both elimination and substitution reactions. In addition, the compound is also a candidate for coupling reactions via a Grignard reagent.
Substitution reactions
In an Sn2 reaction, a nucleophile (iodine) attacks the partially positive carbon, which eliminates the chlorine. This occurs in one step.

A less favorable but still possible reaction is an Sn1 reaction, where a secondary carbocation is formed once the leaving group is removed. The nucleophile then attacks the carbocation, forming the product.

Elimination reactions
Additionally, because 2-chlorobutane is antiperiplanar, it can undergo E2 elimination reactions with strong bases. In it, the chlorine leaving group is removed, and the double bond is restored to yield different constitutional isomers. This is because 2-chlorobutane possesses two different sets of β-hydrogens at the first and third carbons respectively, resulting in 1-butene or 2-butene. It is important to note that as a secondary alkyl halide, both E2 and Sn2 reactions are equally likely when reacting with a substance that can act as both a base and a nucleophile. Which reaction occurs is dependent on the surrounding conditions.[2] In an E2 mechanism, a strong base (e.g. sodium hydroxide) abstracts a beta hydrogen, causing the elections from the former carbon-hydrogen bond to re-form the double bond. This action removes the leaving group, converting 2-chlorobutane to 2-butene or 1-butene depending on which beta hydrogen is removed,[3] because of Zaitsev's rule, the more stable 2-butene product is favored.
The mechanism for the formation of 2-butene (favored):

The mechanism for the formation of 1-butene (not favored):

Grignard reactions
As an alkyl halide, 2-chlorobutane can be used to prepare a Grignard reagent for use in forming a carbon-carbon bond.[4] In the first step, a magnesium ion donates an electron to the alpha carbon in 2-chlorobutane, removing chlorine and forming an allyl radical as well as a Mg+1 radical. In the second step, the Mg+1 radical couples with the allyl radical while the chloride ion interacts with the magnesium ion.

References
- ^ Clark, J. (2015, December 18). Physical Properties of Alkyl Halides. In Chemistry LibreTexts. Retrieved December 2, 2018.
- ^ Clark, J. (2018, March 8). The Reaction of Alkyl Halides with Hydroxide Ions. In Chemistry LibreTexts. Retrieved December 1, 2018.
- ^ Reusch, W. (2013, May 5). Elimination Reactions of Alkyl Halides. In Msu.edu. Retrieved November 28, 2018.
- ^ Bauld, N. (n.d.). Formation of Grignard Reagents from Organic Halides. In utexas.edu. Retrieved December 2, 2018.


